Arbeitsbescheinigung Anfordern Per Mail

Arbeitsbescheinigung Anfordern Per Mail. Anschreiben Muster Arbeitsbescheinigung Anfordern Arbeitslosengeld II Das Arbeitsamt hat ihm dazu geraten den Arbeitgeber schriftlich per Einschreiben dazu aufzufordern. Eine Arbeitsbescheinigung ist ein wichtiges Dokument, das von Arbeitgebenden für Mitarbeitende ausgestellt wird, wenn ein Arbeitsverhältnis endet.

Bescheinigung Anfordern Musterschreiben Musterformulierung für dienstliche Beurteilungen
Bescheinigung Anfordern Musterschreiben Musterformulierung für dienstliche Beurteilungen from srkswrlbvglmz.blogspot.com

Doch bis heute kam nichts an und der Arbeitgeber reagiert nicht mehr telefonisch Mitarbeitende können die Bescheinigung formlos bei der Personalabteilung anfordern, am besten per E-Mail

Bescheinigung Anfordern Musterschreiben Musterformulierung für dienstliche Beurteilungen

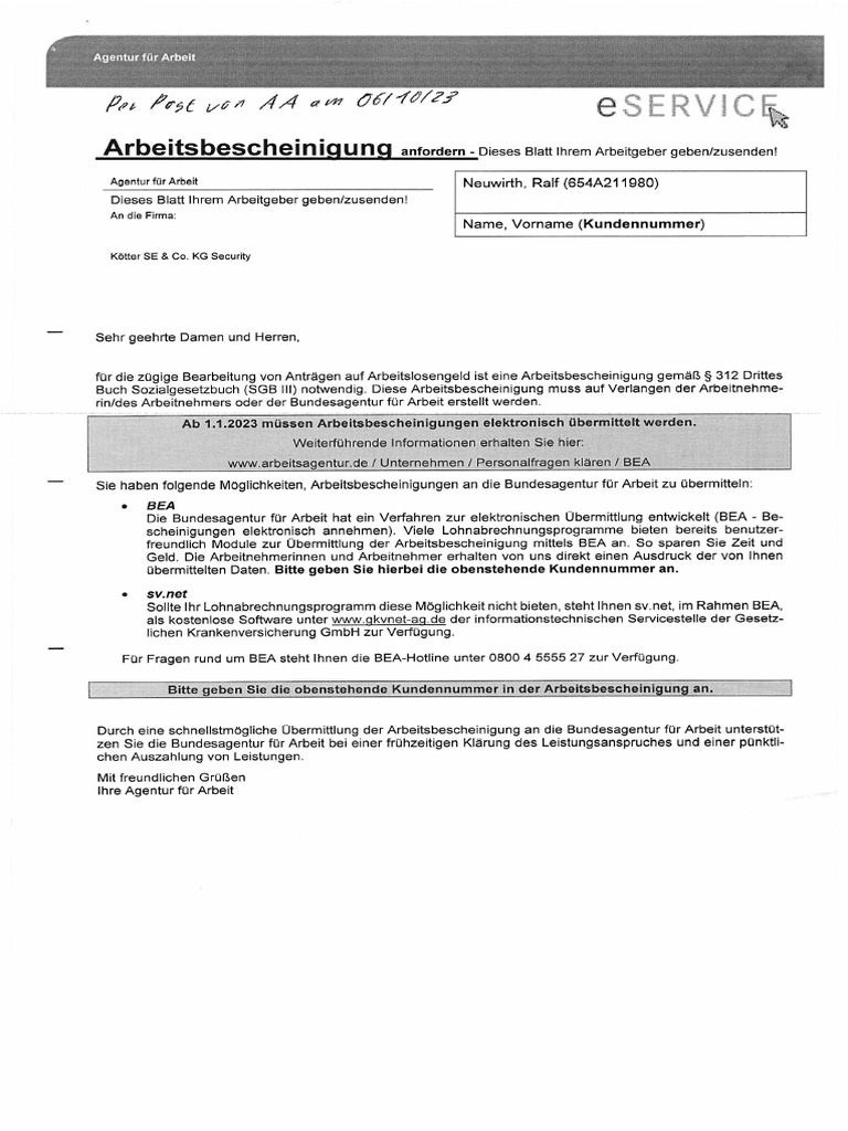
Geben Sie auch den Grund für die Anforderung an und nennen Sie gegebenenfalls einen Zeitrahmen, innerhalb. Vorlagen und Formulare, für die BEA genutzt werden muss Arbeitsbescheinigung gemäß Paragraf 312 Sozialgesetzbuch Drittes Buch (SGB III); Nebeneinkommensbescheinigung gemäß Paragraf 313 SGB III; Arbeitsbescheinigung für Zwecke des über- und zwischenstaatlichen Rechts gemäß Paragraf 312a SGB III (auch als EU-Arbeitsbescheinigung bezeichnet) Wenn ehemalige Beschäftigte einen Antrag auf. Unsicher, was die Formulierungen betrifft? Orientier dich einfach am folgenden Muster: Bitte um Ausstellung einer Arbeitsbescheinigung

Anschreiben Muster Arbeitsbescheinigung Anfordern / Arbeitsbescheinigung Anfordern Muster 15. Mein Bruder hat versucht den Arbeitgeber telefonisch dazu aufzufordern, eine Kopie der ausgefüllten Arbeitsbescheinigung an ihn per E-Mail zu schicken Bitte senden Sie mir die Bescheinigung per Post an meine oben genannte Adresse oder stellen Sie sie mir online zur Verfügung.

Arbeitsbescheinigung Vorlage. Arbeitsbescheinigung anfordern vom Arbeitgeber Bis 2015 war es so, dass der Arbeitgeber bei Beendigung des Arbeitsverhältnisses unaufgefordert eine Arbeitsbescheinigung ausstellen musste Übermitteln Sie der Agentur für Arbeit Arbeitsbescheinigungen und Nebeneinkommensbescheinigungen online mit dem BEA-Verfahren.